锐尔立弹性技术有限公司

语言 语言 语言

News center

弹簧科普

环形弹簧内外圆环的应力计算

【概要描述】环形弹簧是由多个内圆锥面外圆柱面的垫圈状弹簧钢和内圆柱面外圆锥面的垫圈状弹簧钢交替叠加组合而成的弹簧。 它在轴向载荷P作用下,内外环的接触面间将产生很大

环形弹簧内外圆环的应力计算

【概要描述】环形弹簧是由多个内圆锥面外圆柱面的垫圈状弹簧钢和内圆柱面外圆锥面的垫圈状弹簧钢交替叠加组合而成的弹簧。 它在轴向载荷P作用下,内外环的接触面间将产生很大

  • 分类:弹簧科普
  • 发布时间:2025-08-15 15:27:37
  • 访问量:
详情

  环形弹簧是由多个内圆锥面外圆柱面的垫圈状弹簧钢和内圆柱面外圆锥面的垫圈状弹簧钢交替叠加组合而成的弹簧。

  它在轴向载荷P作用下,内外环的接触面间将产生很大的法向压力,使内环直径减小,外环直径增大。由于内外环直径发生这样的变化,就使弹簧缩短了长度;当外力卸除后,由于环的锥角b大于摩擦角,所以弹簧便在弹性内力的作用下恢复原来的尺寸。环形弹簧承受轴向P时,内、外环的锥形接触面间产生很大的摩擦力,消耗很多的能量,此时受力与弯形仍成线性关系。在加载过程中,外力P等于弹簧内力与摩擦力之和。ABO表示卸载过程,它包括两个阶段,即AB段和BO段。AB段表示载荷降至,弹簧的弹性内力克服静摩擦力,使弹簧逐渐恢复原状的情况。



1.1 环形弹簧圆环的应力计算

1外圆环的应拉力  如图18-5 所示,外圆环所受径向分力F,

 

18-5 环形弹簧的受力分析

           image.png                 18-2

 

外圆环截面中心圆周上单位长度的径向分力P2

                image.png                18-3

 

式中——外圆环截面中心直径,如图18-6所示。

image.png 

18-6外圆环和内圆环截面的受力简图

a)外圆环b)内圆环

如图18-6a所示,在径向分力作用下,外圆环截面受拉伸,所受拉力为F2在无限小圆周ds上的径向力为P2 ds,它在y轴上的投影为ds

image.png 

因此可得与F2的平衡方程为

                                   

image.png18-4

由于环形弹簧圆环壁厚较小,一般为直径的image.png,因此,按简化计算,外圆环截面中的拉力为

    image.png         18-5

 

将式(18-1)代入得

           image.png            18-6

           image.png              18-7

                             

image.png                 18-8

image.png 

18-7

环形弹簧尺寸示意图

式中 A2——外圆环截面面积,如图18-7所示;

Y——系数;

P——摩擦角,tanρ =fμ

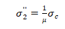
(2)外圆环的压应力外圆环除截面内产生拉应力外,在圆锥接触表面还有压应力σc

                  image.png             18-9

由式(18-5)得

         image.png             18-10

 

由于横向变形,在外圆环内表面的圆周方向的拉应力为

           image.png              18-11

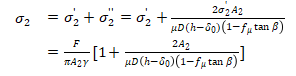
 因此在外圆环内表面的最大应力为 


image.png        18-12

 

image.png         18-13

            

image.png  (18-14

 

式中 D——圆锥接触面的中径,如图18-7所示;

image.png——接触面宽度,如图18-7所示;

μ——材料的泊松比。

1.2 环形弹簧内圆环的应力计算

内圆环所受径向分力与外圆环一样同为 Fr内圆环截面中心圆周上单位长度的径向分力为:

                        image.png      (18-15)

18-6b 所示,在径向分力作用下,内圆环截面受压缩,所受压力为image.png    (18-16)

  截面中的压力应力为:

 image.png(18-17)

将式(18-1)代入得内圆环的最大应力

 image.png     (18-18)

   image.png       (18-19)

式中:
image.png——内圆环截面中心直径;
A1——内圆环截面积,如图18-7所示。

内圆环接触表面的压力 σc与外圆环相同,可用式(18-10)求得。由于横向变形,在内圆环表面的周向拉应力也可用式(18-11)求出。因此,在内圆环外表面的应力为 σ1σc
显然,在内圆环截面上的最大压力应力不在接触表面,而在截面内,其大小可由式(18-18)求出,即 σ1

为了满足强度要求,由式(18-12)和式(18-18)求出的外圆环和内圆环的最大应力都应小于许用应力。

 


锐尔立弹性技术有限公司

扫码添加锐尔立

官方微信

  • 友情链接:
  • Copyright © 2022 锐尔立弹性技术有限公司 版权所有  苏ICP备2022047751号